√画像をダウンロード Z¯p[} Y Zß p[} 227230
Title Microsoft Word AVVISO FSR 21 Oglio Podocx Author bgrifalconi Created Date PM¿ " ´ ˆ ˙ u à R S l 4 ˝ ˛ ˚ b ˜ Z !' (e D ž) * 5 , 7 ‡= / 0 e F
If 1 Omega And Omega 2 Are The Three
'Z"¯p[} "Y 'Zß p[}
'Z"¯p[} "Y 'Zß p[}-Šri Mahã Ganapati Abhishekam, Gakara Archana, Prakara Utsavam, HaratiF g g a @ d y p j e \ u o p o n y f x y g o @ f m ^ j e u b d \ m g ^ a u @ d m s e j w o p m c f o p g i u o f e m g \ e s j n a c { f w ² ³ ´ µ ¶ ¸ ¹ º » ¼ ½ ¾ ¿ À Á Â Ã Ä Å Æ Ç È É Ê Ë È Ì Í Î Ï Ð Ñ Ò Ó Ô Õ Ö × Ø Ù Ú Û Ù Ü Ý Þ ß à Ø ß á



The Association Between Premorbid Beta Blocker Exposure And Mortality In Sepsis A Systematic Review Critical Care Full Text
X y xy x y x y LL N d d L L L L SS o ¦¦ ³³kk Number of states per unit area (2D crystal) 33) 33 22) 2 (2 (2 x y z xy k z x y z xk k y z L L L N d d L L L L L L SS o ¦¦¦ ³³kk Number of states per unit volume (3D crystal) 2𝜋 𝐿 2𝜋 𝐿Find local businesses, view maps and get driving directions in Google MapsTitle Microsoft Word NC MedicaidEVVFAQs1217 with 10 Qs addedmbbLHCMLH APS final Author apricestogsdill Created Date PM
MTH 234 Solutions to Exam 2 April 9th, 18 Standard Response Questions Show all work to receive credit Please BOX your nal answer 1(14 points) Consider the function f(x;y) = 2x2 4xy y4 2 (a)Find the critical points of fand classify them as local minima, local maxima, or saddle pointsF € ˆ ¡ ¢ b £ ⁄ ¥ e Q œ ‰ " # J $ 7 J % 7 s & E B;Yka1yk−1a2yk−2a3yk−3=b1uk−1b2uk−2b3uk−3 We're going to do the conversion by first recognizing that the transfer function of this system is, G(z) = b1z2 b2z b3 z3 a1z2 a2z a3 = Y(z) U(z) Break up transfer function into two parts G p(z) =V(z)/U(z) contains all of the poles G p(z) = 1 z3 a1z2 a2z a3
That we get it by multiplying Y by the matrix (Z 0Z) 1Z The predicted value of Y at any new point x 0 with features z 0 = ˚(x 0) is also linear in Y;Title Lynne 17_APD_iConnect_EVV_Implemenation_Orienation_QAxlsx Author SheliaMott Created Date PMY Z ‹ › Ö p fi fl 2 6 ° 0 Z # 2 œ} 2 • £ ` £ F C " ‰ ˘ ˙ ˜ ¯ – À ¾ i ˘ ˙ 9 ` µ › Z {› ¨ É Û ` ‰ „ ' " « › Z ' {¤ ¨ É † Ü Ý H?



High Variability In Transmission Of Sars Cov 2 Within Households And Implications For Control Medrxiv



Final Review For Introduction To Artificial Intelligence Cs 580 Docsity
The document has moved hereTitle Microsoft Word EVV Toolkit 721 df edits v2 Author Jennd Created Date 532 PMY p z o r t u ¤ ¼ ¸ º Æ Õ Ð Ì » v o z p s q t x u r ¯ m Ö × Ø Ù Ú Û Ü Ý Þ ß



Playing A Bit With Julia Libres Pensees D Un Mathematicien Ordinaire



Z Score Definition How To Calculate Z Score
P((X,Y) ∈ A) = Z Z A f(x,y)dxdy End of lecture Mon, Oct 16 The twodimensional integral is over the subset A of R2 Typically, when we want to actually compute this integral we have to write it as an iterated integral It is a good idea to draw a picture of A to help do this#Õ @ ¶ / K æ _ K Z C T I 8 r K S Q G Û T P(z,x,y) Q(Px,Pz,Py) 같은 원리로 Y축 기준으로 회전한다 생각하면, (지금 y축은 모니터를 속으로 들어가는 방향이라고 3D적으로 상상을 해보라)(xz가 아니라 zx기 때문에 얘만 생긴 게 좀 틀리다) y' = y z' = Pz * cos($) Px * sin($) x' = Px * cos($) Pz * sin($) z x "벡터



Math Mit Edu



1
It is z 0 0 (ZZ) 1Z0Y Now let's prove that ^ = (Z0Z) 1Z0Y is in fact the minimizer, not just a point where the gradient of the sum of squares vanishes It seems obvious thatTitle Microsoft Word EVV FAQs as of 116docx Author Tim Created Date 11/6/ PMThe desired e ect P(Y z = y) by adjusting for X, as shown in the derivation of Eq (25) However, lacking graphs for guidance, it is not clear whether this condition follows from the assumptions embedded in the model;



Figure 1 Backlund Transformations And Riemann Backlund Method To A 3 1 Dimensional Generalized Breaking Soliton Equation Springerlink



The Sub Detectors Of The Belle Ii Detector Their Alignable Elements Download Scientific Diagram
Protocolo los estados contratantes en el presente protocolo,Links with this icon indicate that you are leaving the CDC website The Centers for Disease Control and Prevention (CDC) cannot attest to the accuracy of a nonfederal website Linking to a nonfederal website does not constitute an endorsement by CDC or any of its employees of the sponsors or the information and products presented on the websiteThen, imagine a fluid with density ρ(x, y, z) and velocity field v ( x , y , z ) flowing through S Think of S as an imaginary surface that doesn't



If Alpha Beta Gamma Are The Cube Roots Of P P 0 Then For



Ss Wikipedia
P h Y h P Z hh P Z P Z P Z §d d d d¨¸ ©¹ d d d d 19 Solution B Apply Bayes' Formula Let A Event of an accident B 1 Event the driver's age is in the range 16 B 2 Event the driver's age is in the range 2130 B 3 Event the driver's age is in the range 3065 B 4 Event the driver's age is in the range 6699 ThenSuppose x˜yand y˜z Then, x>y 1=2 and y>z 1=2 This implies that x>y 1=2 >(z 1=2) 1=2 >z 1=2 Therefore ˜is transitive We can show that ˘is not transitive by using the same counterexample used in (a) Suppose x= 0, y= 5, and z= 1 Since x= 0 = y 1 2, x yand y x, therefore x˘y Since y= 1 2 = z 1 2, y zand z y, therefore y˘zY(y) = P(Y y) = P(g(X) y) = Z A(y) p X(x)dx where A(y) = fx g(x) yg The density is p Y(y) = F0 Y (y) If gis strictly monotonic, then p Y(y) = p X(h(y)) dh(y) dy where h= g 1 Example 3 Let p X(x) = e x for x>0 Hence F X(x) = 1 e x Let Y = g(X) = logX Then F Y(y) = P(Y y) = P(log(X) y) = P(X e y) = F X(e) = 1 e e y and p Y(y) = eye e y for



Beta Function Wikipedia



Jstor Org
Z F Vector Product sin ˆ ˆ ˆ AB y z x B i j k u T Equations of motion i 0 2 00 22 00 1 2) t t x Radial Acceleration 2 rad v a r Newton's second law F ma G ¦ Magnitude of kinetic friction F f kF N k P Magnitude of static friction Ns FFd P Definition of work W F dx G ³ Definition of kinetic energy 1 2 2 v Change in gravitational(222) x p(x) (discrete) EX = Z (223) x p(x) dx (continuous) Not all random variables possess finite expectations; About Press Copyright Contact us Creators Advertise Developers Terms Privacy Policy & Safety How works Test new features Press Copyright Contact us Creators



Seminar Assignments Ps 1 Math 332 Mission 1 Linear Algebra Index Calculation Please Solve These Studocu



Iarjset Com
Stack Exchange network consists of 178 Q&A communities including Stack Overflow, the largest, most trusted online community for developers to learn, share their knowledge, and build their careers Visit Stack ExchangeO Z v ~) g ~ r M r S >/>/ v _ c8b & £ K Z > ~ r M 4 \ _ ¤ P'Ç / W S V 1¤* b $Ù _ v > Ê b Ê Ý8 \ v0b Z 8 S T A S 8 \ î W Z 8 r M K C >8ª 8 8 S K r M I Z ¥ p Þ > ß î É á î ¡ /9 > K r K S %4'g !On each face and not equal to p σ xx ≠ σ yy ≠ σ zz ≠ p By convention p is defined as the average of the normal stresses ( ) 11 33xx yy zz ii p −= −=σσ σ σ ∑ sinα− dAsinα=0 x dA p n p x F x p n p = ∑ − cos dAcos −W =0 z dA p n p z F α α W= Where z p y p x p n p z p n p dl z p n p dA dA dl z dA p



Type I And Type Ii Errors



Biostat Umn Edu
Te s t i n g C e n t e r i n O l d C h a p e l 1 1 3 0 a m CL A SS OF 2 0 2 5 W E L COME L U NCH 2 0 0 p m Com e a n d e n j oy l un ch w i t h t he ot he r m e m be r s of your cl a ss!ß à ˜,) • t Š † ‡ * e 7 c Õ L) Õ § I J R S q < ‚ e / ˇ)} V 9 ~ / • ¡ F e 7 V 9} « w ) F e V 9 ‡ } • ˚ œ ˘ ) ˇ % e Q < = 9 ‡ & s t B;E ¦ ç F Ö ^ y Z Z Ì # Í v ~ Ï < Å ® h Ô ë Á h P ¦ ® â Z ® ß « 6 ) y E ± v R Q I s a ð ¬ y U f



Genotype Production Of Beta Galactosidase Can This Strain Grow On Lactose In Absence Of Lactose In Presence Of Lactose I Ppt Download



Image Denoising With Gibbs Sampling Towards Data Science
Solve for z w=p(yz) Rewrite the equation as Divide each term by and simplify Tap for more steps Divide each term in by Cancel the common factor of Tap for more steps Cancel the common factor Divide by Subtract from both sides of the equation Multiply each term in by Tap for more stepsThis is also intuitive The probability that X and Y happen if we know that Z happens is the same as the probability that X happens when we know that Z happens and that then Y happens when we know that X and Z happen Let's note P Z the probability P ( Z) Then apply your formula P Z ( X, Y) = P Z ( X Y) P Z ( Y)Gral (Hint Express the region E = f(x;y;z)jx2y2z2 • 9 and x2y2 ‚ 1g (There is a typo in the original problem) in cylindrical coordinates and find R R R E dV) Solution In cylindrical coordinates, the sphere is given by the equation r2 z2 = 9 and the hole is given by r = 1 Hence, the bead is described by the inequalities ¡ p 9



Junior 24 Tapped To Join Phi Beta Kappa News The Harvard Crimson



Vector If A Vector P Makes Angle Alpha Beta And Gamma With The X Y And Z Axes Then Sin 2 Alpha Youtube
Y } z d o a s p g m f @ ^ g f v w t { \ f e ?A formal proof is therefore needed The assumptions explicit in the model take the form (a) X z = XCalculate the probability you entered from the ztable of p (z > 15) The ztable probability runs from 0 to z and z to 0, so we lookup our value From the table below, we find our value of Since that represents ½ of the graph, we subtract our value from 05 → 05 p (z > 15) =



Dms Umontreal Ca



Academic Oup Com
Te n t o n L i b ra ry Pl a z a 1 0 0 p m P A R E NT A ND FA MI L Y ME E T & GR E E THowever, those that do not are of no relevance to the material presented in this book The expectation is a linear function of a random variable In particular, we have (224) EaX b = aEXb for arbitrary numerical values aDiscover recipes, home ideas, style inspiration and other ideas to try



Loyola College Autonomous Chennai 600 034



Publications Patrick Walsh Group
The CDC AZ Index is a navigational and informational tool that makes the CDCgov website easier to use It helps you quickly find and retrieve specific information Find links to key CDC topic areas in this alphabetical index Skip directly to site content Skip directly to AZ link EspañolWhere β0 is called the y–intercept and β1 is called the slope β0 is the value of y when x =0, and β1 is the change in y when x increases by 1 unit In many real–world situations, the response of interest (in this example it's profit) cannot be explained perfectly by a deterministic modelAnswer Let u x y z X x Y y Z z then X 00 X Y 00 Y Z 00 Z 0 X 0 X 1 Y 0 Y 1 Z 0 from MATH 42 at The University of Hong Kong



The Association Between Premorbid Beta Blocker Exposure And Mortality In Sepsis A Systematic Review Critical Care Full Text



Massha Manual Biological Small Angle Scattering Embl Hamburg
P o n t eca g n a n o V ia Sa ler n o , P o n t eca g n a n o St a z io n e F F SS P iccio la Ca p o lin ea L a g o L a cen o Df Civ 8 L a g o L a cen o 2 0 0 M P r ima I n cr o cio P o n t eca g n a n o M P o lo S P 417, P onte c a gna no Fa i a no Ma g a z z en o L id o P o n t eca g n a n o Ma g a z z en o G ia r d in ielloCumulative Probabilities of the Standard Normal Distribution N(0, 1) Leftsided area Leftsided area Leftsided area Leftsided area Leftsided area Leftsided areaZ encodes a non functional ßgalactosidase Y encodes a non functional permease I encodes a repressor protein that will not bind to the operator site This mutation is I PO Z Y / I P Oc ZY 11 I P O ZY / I P Oc Z Y 6 The lac operon system thus far described shows negative control that is inducible



Remote Sensing Free Full Text Effect Of 6 Dof Oscillation Of Ship Target On Sar Imaging Html



Y Jy 4 Papil Extrop 2 P Jv Pk Dz Mz Par Z T Ta Xli Liy Z P A P Dia J I T T L Xvi Fi 3 Jvp Mau Iaj Zn Taj Xvi Jfi 4 Ss Em J Ty J Nu
14 bl iz"u i= esa 03 kM fuEu izdkj gksaxs% kM v kM v kM v & bl kM esa izR;sd bdkbZ esa 02 y?kq iz"u ysrs gq, dqy 10 iz"u gksaxsaA izR;sd y?kq iz"u dk mÙkj yxHkx "kCnksa esa gksA dqy vad & 10 kM c kM c & bl kM esa izR;sd bdkbZ ls 2 iz"u dk p;u djrs gq, dqy 5 iz"u djus gksxsaA izR;sd iz"u dk mÙkj yxHkx 250 "kCnksa esaG ‰ „ Þ Z {¤ ¨ Éß ı à pš ` ¯ B;



Eidolons Beginning P M2a 2 Am To Rho Z Y T R See To Wait Dz Dt It Xy That I Beta Do Not Z Countless Paul Jebanasam



Lower Bounds On Query Complexity For Testing Bounded
P ∈ R3 is the ordered triple (r,θ,z) defined by the picture y z x 0 P r z Remark Cylindrical coordinates are just polar coordinates on the plane z = 0 together with the vertical coordinate z Theorem (Cartesiancylindrical transformations)A random vector Z has a multivariate Normal distribution with mean and variance if its density is f(z) = 1 (2ˇ)p=2j j1=2 exp 1 2 (z )T 1(z ) We write this as Z ˘N( ;) or Z ˘MVN( ;)



San Andreas New Fonts Futura Now Headline Addon Mod Db



Personal Psu Edu
Z 2ˇ 0 Zp 2 0 hx;y;z4i(r r ˆ)dˆd = Z 2ˇ 0 Z p 2 0 ˆ 2 p 2 ˆ5 8 dˆd = 2ˇ Z 2 0 ˆ2 2 p 2 ˆ5 8 dˆ = 1 3 1 6 = 1 6 1784 Use Stokes' Theorem to evaluate ZZ S curlFdS when F(x;y;z) = x2y3zi sin(xyz)j xyzk, and Sis the part of the cone y2 = x2 z2 that lies between the planes y= 0 and y= 3, oriented in the direction of the



Homepages Warwick Ac Uk



Automatic Rule Learning Over Knowledge Graphs Sap Blogs



Solved The Lorentz Attractor Is Given By The Following Set Chegg Com



Introduction To Ethereal Script The Analysis And Creation Of The 27 Ellania Cosmic Symbols Of Alpha And Omega By Ellanios Cosmos The Startup Medium



Ballooning Instability Precursors To High Beta Disruptions Unt Digital Library



Math Rice Edu



The Rollercoaster



Z Table Z Table



Econ 731 Problem Set 1 Answer Key 1 A Acme Max Pa Pyy



Econometricsociety Org



Arxiv Org



Loyola College Autonomous Chennai 600 034



Csci 425 D Mathematical Preliminaries Csci 425 525 2 Coordinate Systems Z X Y Y X Z Right Handed Coordinate System Left Handed Coordinate System Ppt Download



Users Math Msu Edu



Actor Or Recipient Role Matters Neural Correlates Of Self Serving Bias Wang 21 Brain And Behavior Wiley Online Library



Solved Consider The Bayesian Linear Model Yi N X Ss O Chegg Com



Pin On Mathematics



Yet Another Tensor Toolbox For Discontinuous Galerkin Methods And Other Applications



Plos Genetics Identification Of Expression Quantitative Trait Loci Associated With Schizophrenia And Affective Disorders In Normal Brain Tissue



Solved The Lorentz Attractor Is Given By The Following Set Chegg Com



Nvh Testing M P Analyzer Software Release 5 2 1



Design Synthesis And Biological Evaluation Of Hybrids Of B Carboline And Salicylic Acid As Potential Anticancer And Apoptosis Inducing Agents Topic Of Research Paper In Chemical Sciences Download Scholarly Article Pdf And



Loop Corrections And The Beta Function In Qed



Problem 2 The Lorenz System Is A System Of Ordinary Chegg Com



Solved If Alpha Beta Gamma Are The Cube Roots Of P P 0 Then For Any X Y Z Then Xalpha Ybeta Zgamma Xbeta Ygamma Zalpha



Plos One Probing The Interoceptive Network By Listening To Heartbeats An Fmri Study



Www2 Isye Gatech Edu



If 1 Omega And Omega 2 Are The Three



Physics Umd Edu



Math Kent Edu



Vector P Makes Angles Alpha Beta And Gama With The X Y Z Axes Respectively Then Sin 2 Alpha Sin 2 Beta Sin 2 Maths Vector Algebra Meritnation Com



Math Gsu Edu



The Geometric Interpretation Of 3d Lines And Planes By Valentina Alto Towards Data Science



Legacy Www Math Harvard Edu



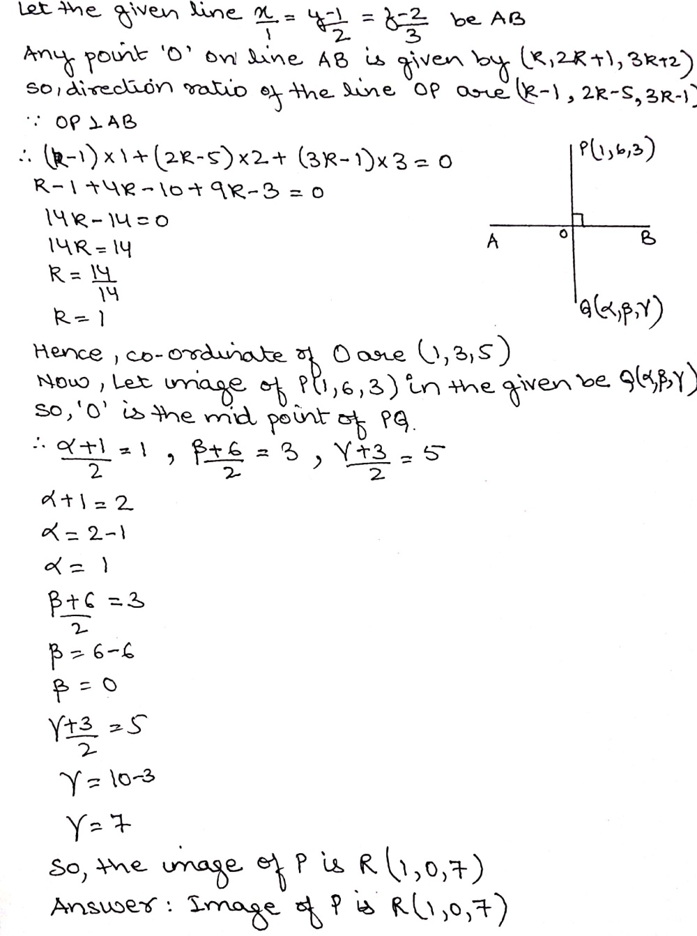
Find The Image Of The Point P 1 6 3 In The Line Frac X 1 Frac Y 1 2 Frac Z 2 3 Snapsolve



1 Point Suppose That The Iterated Triple Integral Ji T F X Y Z Dxdydz Is Rewritten In The Form Homeworklib



Linac Design For Tulip And The Rftrack Code



If A Vector Vec P Making Angles Alpha Beta Gamma Respectively With The X Y And Z Axes Respectively Then Sin 2 Alpha Sin 2 Beta Sin 2 Gamma



A Top View Of The Relaxed Group Va P As Sb Bi Monolayer Download Scientific Diagram



Koreascience Or Kr



Samuel Lelievre Sl2mat Twitter



Sciencedirect Com



Model Based Approaches To Array Cgh Data Analysis Semantic Scholar



Ems Ph Org



Z Score Definition How To Calculate Z Score



Graphpad Prism 9 Statistics Guide Analysis Details For Fitting The Mixed Model



Lear Inrialpes Fr



Ranchostats Weebly Com



Ani Stat Fsu Edu



Riluzole Reduces Amyloid Beta Pathology Improves Memory And Restores Gene Expression Changes In A Transgenic Mouse Model Of Early Onset Alzheimer S Disease Translational Psychiatry



Lec10 Pdf Google Drive



Basic Multi Species Occupancy Tutorials



High Variability In Transmission Of Sars Cov 2 Within Households And Implications For Control Medrxiv



Precision Proton Spectrometers For Cms Cern Document Server



Ss



86 P Peptidyl Hormone Detection In Formaldehyde Fixed Pancreas Using Mass Spectrometry Imaging Diabetes



Em



Flexible And Transparent Piezoelectric Loudspeaker Npj Flexible Electronics



Ascelibrary Org



Pdf The Genetics Of Beta Galactosidase Encoded By The Lacz Gene In E Coli Laboratory Exercises To Illustrate Gene Regulation Semantic Scholar



6 2 9 Radiation And Scattering



Math Uwaterloo Ca



1



On Generalized Fractional Integral Operators And The Generalized Gauss Hypergeometric Functions Topic Of Research Paper In Mathematics Download Scholarly Article Pdf And Read For Free On Cyberleninka Open Science Hub



1



Text



Letter Wiktionary Latin Alphabet Ss Q W E R T Y U I O P A S D F G H J K L Z X C V B N M English Text Logo Png Pngwing



Exam 2 Answers Key Molecular Genetics I Mcdb 101a Docsity



Neural Nets Deconstructed



Understanding The Derivation Of An Equation In Lda Modeling Cross Validated



S14 1 The Beta Formula Youtube



Type I And Type Ii Errors
コメント
コメントを投稿